较新!济南公布24小时核酸检测机构和采样点详细地址
搜狐焦点济南站 2021-10-27 09:56:51
用手机看
扫描到手机,新闻随时看
扫一扫,用手机看文章
更加方便分享给朋友
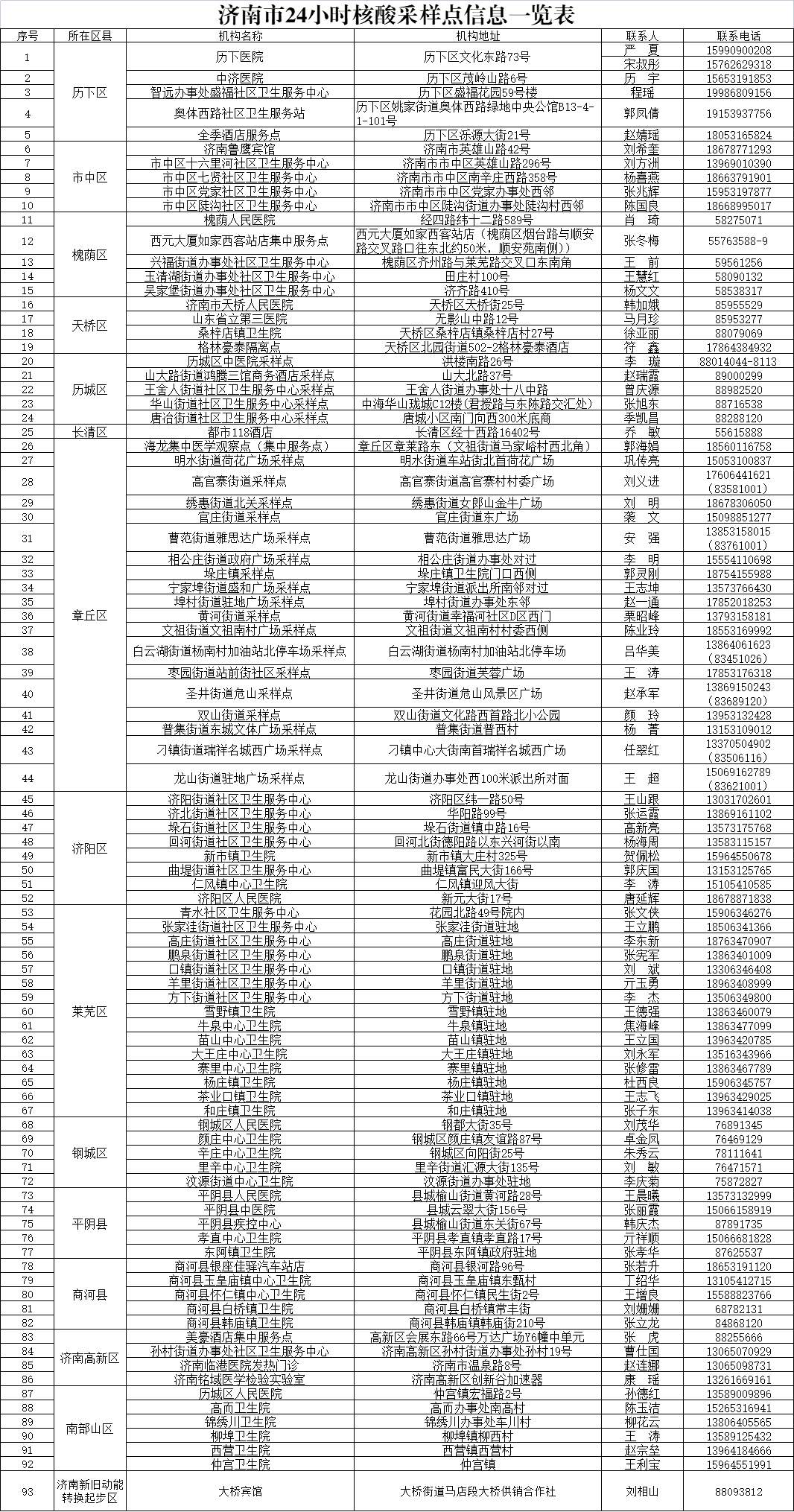
10月26日,济南市卫健委发布较新济南市24小时核酸检测机构和采样点信息,有核酸检测需求的市民可以就近到这些检测点检测。 24小时检测机构 (注:图片可以点击放大查看) 24小时采样点
10月26日,济南市卫健委发布较新济南市24小时核酸检测机构和采样点信息,有核酸检测需求的市民可以就近到这些检测点检测。
24小时检测机构

(注:图片可以点击放大查看)
24小时采样点

来源:新黄河
声明:本文由入驻焦点开放平台的作者撰写,除焦点官方账号外,观点仅代表作者本人,不代表焦点立场。


